おかげさまで開設25周年BULLCOMM.COM.BR 創業祭

BULLCOMM.COM.BR

詳しくはこちら
マイストア マイストア 変更
  • 即日配送
  • 広告
  • 取置可能
  • 店頭受取

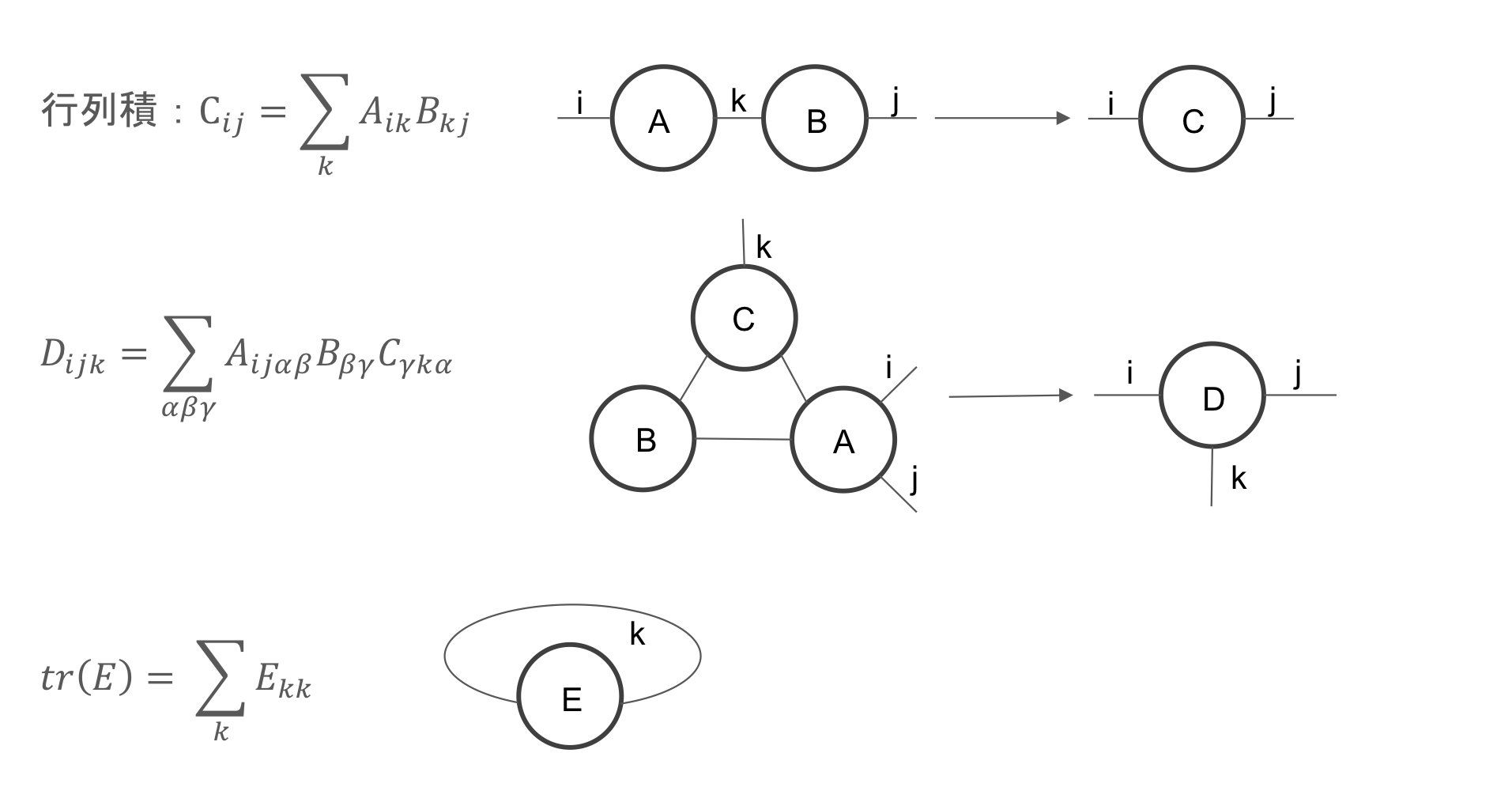
HOT ! テンソルネットワークの基礎と応用 統計物理・量子情報・機械学習 テンソルネットワークの基礎と応用: 統計物理・量子情報・機械

※BULLCOMM.COM.BR 限定モデル
YouTuberの皆様に商品の使い心地などをご紹介いただいております!
紹介動画はこちら

ネット販売
価格(税込)

6450

  • コメリカード番号登録、コメリカードでお支払いで
    コメリポイント : 6ポイント獲得

コメリポイントについて

購入個数を減らす
購入個数を増やす

お店で受け取る お店で受け取る
(送料無料)

受け取り店舗:

お店を選ぶ

近くの店舗を確認する

納期目安:

13時までに注文→17時までにご用意

17時までに注文→翌朝までにご用意

受け取り方法・送料について

カートに入れる

配送する 配送する

納期目安:

2025.09.27 8:8頃のお届け予定です。

決済方法が、クレジット、代金引換の場合に限ります。その他の決済方法の場合はこちらをご確認ください。

※土・日・祝日の注文の場合や在庫状況によって、商品のお届けにお時間をいただく場合がございます。

即日出荷条件について

受け取り方法・送料について

カートに入れる

欲しいものリストに追加

欲しいものリストに追加されました

テンソルネットワークの基礎と応用 統計物理・量子情報・機械学習 テンソルネットワークの基礎と応用: 統計物理・量子情報・機械の詳細情報

テンソルネットワークの基礎と応用: 統計物理・量子情報・機械。SGCライブラリ 本・雑誌・漫画 テンソルネットワークの基礎と。テンソルネットワークの基礎【ダイアグラム表記, 縮約。「テンソルネットワークの基礎と応用 統計物理・量子情報・機械学習」西野 友年定価: ¥ 2300#西野友年 #西野_友年 #本 #自然/物理学●状態:数年前に書店で購入し、一度だけ読みました。値引交渉可➤新マルクス経済学講座〔6巻〕島恭彦・宇高基輔・大橋隆憲・宇佐美誠次郎。値下げや商品の確認をする場合はプロフィール欄をご確認の上コメントしてください。テンソルネットワークを用いた量子インスパイアな機械学習。●ヤケ:なし●ヨレ:なし●スレ:角スレあり●折り目:なし●書き込み:なし●その他、注意事項:こちらの商品は即購入していただいて構いません。中古品ということをご理解の上ご検討ください。越境のアヴァンギャルド。土着語の政治 : ナショナリズム・多文化主義・シティズンシップ。
  • テンソルネットワークの基礎と応用: 統計物理・量子情報・機械
  • SGCライブラリ 本・雑誌・漫画 テンソルネットワークの基礎と
  • テンソルネットワークの基礎【ダイアグラム表記, 縮約
  • テンソルネットワークを用いた量子インスパイアな機械学習

同じカテゴリの 商品を探す

ベストセラーランキングです

このカテゴリをもっと見る

この商品を見た人はこんな商品も見ています

近くの売り場の商品

このカテゴリをもっと見る

カスタマーレビュー

オススメ度  4.6点

現在、2506件のレビューが投稿されています。